Многие начинающие энтузиасты задумываются о домашнем производстве самогона. Чтобы получить качественный напиток, важно понимать базовые принципы и соблюдать безопасность. Ниже приведён пошаговый алгоритм для начинающих самогонщиков, который позволит разобраться в процессе без риска для здоровья.
Из чего делать самогон?
Качество исходного сырья напрямую влияет на вкус, аромат и выход готового дистиллята. Разные ингредиенты дают разные оттенки вкуса — от лёгких фруктовых до насыщенных хлебных или медовых. Поэтому важно понимать, какое сырьё выбрать и какие особенности учесть при его использовании.
Сахар — идеальный вариант для старта
Самогон из сахара — самый простой и предсказуемый вариант для новичков.
Преимущества:
- Доступность. Белый столовый сахар дешевый, продается в любом магазине уже в готовом виде, его не надо дополнительно перерабатывать, дробить, очищать и т.д.
- Удобство. Легко рассчитать пропорции сахара и дрожжей. Как это сделать мы писали в статье с рецептом сахарной браги.
- Быстро сбраживается. Сахар — это максимально простая форма углеводов, которая легко перерабатывается дрожжами с минимумом побочных продуктов. Брага из чистого сахара бродит примерно 3-4 дня, когда фруктовая и зерновая бродят 5-7 дней. Для ускорения процесса сахар можно дополнительно инвертировать, разложив его на фруктозу и глюкозу с помощью лимонной кислоты.
В результате получается нейтральный чистый дистиллят, который идеально подходит для приготовления домашней водки и в качестве основы для настоек.
Мед, варенье, патока или сироп — интересная альтернатива классическому сахару. Они дают мягкий вкус и лёгкий аромат карамели или цветов.
Особенности:
- Процесс брожения идёт медленнее, чем с обычным сахаром.
- Требуется точный контроль температуры.
Совет: лучше брать натуральный мед без добавок. Даже если он засахарился, это не повлияет на качество браги.
Пошаговый рецепт самогона из сахара: от постановки сахарной браги, описания перегонки и конечного напитка можно почитать – ТУТ
Зерновое сырьё — основа классических дистиллятов
Зерновое сырьё — это основа классических дистиллятов: хлебного, ржаного, пшеничного самогона, виски и бурбона. Такие напитки ценятся за мягкий вкус, сложный аромат и характерный «хлебный» оттенок. Однако работа с зерном требует больше знаний и аккуратности, чем обычная сахарная брага.
Виды зерна для самогона
- Пшеница. Это сырье для классического самогона с мягким, сладковатым вкусом с аппетитными хлебными нотами.
- Ячмень. Это традиционная основа для виски, которая дает чистый вкус с лёгкой горчинкой и ароматом солода.
- Рожь. Из ржи получается пряный, насыщенный самогон с лёгкой терпкостью во вкусе.
- Кукуруза. Это очень сладкое маслянистое сырье, которое используется для производства бурбона. Дистиллят из кукурузы обладает ярким кондитерским вкусом с карамельными и сливочными нотами.
- Гречка, просо, рис, овёс. Дают специфический вкус и аромат, используются для авторских дистиллятов.
Новичкам лучше начать с пшеницы и ячменя. Эти злаки проще в работе и дают стабильный результат.
Подготовка зерна
Перед использованием зерно необходимо очистить от примесей и пыли, а также раздробить на дробилке.
Главная особенность зернового сырья в самогоноварении в том, что оно не содержит готового сахара, только крахмал. Новичкам лучше использовать не цельное зерно, а солод.
Солод — это пророщенные и высушенные семена злаков. Проращивание активирует в зерне ферменты (например, амилазу), которые превращают крахмал в сахар, необходимый для дальнейшего брожения дрожжами с образованием спирта.
Если вы выбрали зерно, то расщепить крахмал на сахаре можно с помощью ферментов. Ключевыми ферментами являются амилосубтилин (расщепляет длинные молекулы крахмала на фрагменты) и глюкаваморин (расщепляет эти фрагменты на простые сахара).
Про роль ферментов в производстве спирта подробно рассказывали ТУТ
Новички могут начать делать зерновые дистилляты из солодовых концентратов.
Плодово-ягодное сырье — основа для бренди и фруктовых дистиллятов
Фруктовое сырьё используется для производства коньяка, чачи, кальвадоса и других видов бренди. Для плодово-ягодных дистиллятов подойдут практически любые фрукты из вашего сада: яблоки, груши, виноград, вишня, сливы, абрикосы и другие.
Работа с фруктами требует внимания к деталям: важно выбрать качественное сырьё, правильно сбалансировать сахар и кислотность и обеспечить чистое брожение.
Совет: используйте только спелые, неиспорченные плоды — гниль и плесень полностью испортят брагу и вкус напитка. В некоторых случаях можно использовать падалицу, если на ней нет пятен и повреждений.
Фрукты для самогона
- Яблоки — это базовое сырье, доступное как в продаже, так и в большинстве дачных хозяйств. Яблочный дистиллят обладает мягким фруктовым вкусом с легкой кислинкой, при выдержке в бочке можно получить кальвадос.
- Груши — основа для сладких дистиллятов с нежным маслянистым ароматом, например, Пуаре Вильямс. Что можно сделать из груш мы подробно описали в этой статье.
- Слива дает яркий аромат с лёгкая терпкостью. Из сливы делают традиционную балканскую сливовицу.
- Виноград — сырье для чачи, коньяка, арманьяка и других традиционных дистиллятов и бренди. Дает чистый, винный вкус, который нравится большинству ценителей фруктовых напитков.
- Вишня, черешня — основа для насыщенных дистиллятов с сильным ароматом и лёгкой миндальной ноткой.
- Абрикос, персик — это отличное сырье для нежных дистиллятов с ярким фруктовым профилем. Лучше использовать свежие, спелые фрукты.
С некоторыми типа сырья (слива, вишня, черешня, абрикос, персик) надо быть осторожнее. В их косточках содержится цианид, который при реакции с этанолом превращается в ядовитую синильную кислоту. Поэтому старайтесь не допускать попадания косточек в сусло. Не советуем делать, например, киршвассер на косточке без помощи опытного технолога.
Подготовка фруктов
- Очистка. Фрукты тщательно моют и очищают от гнили, листьев и веточек, удаляют косточки.
- Измельчение. Сырье перерабатывается в специальных измельчителях. Для отжима сока лучше использовать специальные гидропрессы, которые не повреждают мезгу и косточки.
- Коррекция вкусоароматики:
- Если фрукты кислые — добавляют немного сахара.
- Если наоборот — добавляют воду для снижения кислотности.
Новичкам советует начать делать фруктовые дистилляты из сбалансированных соковых концентратов.
Приготовление браги
Брага — это основа любого дистиллята. От того, насколько правильно вы поставите брагу, будет зависеть вкус, аромат и выход самогона. Даже самое совершенное оборудование не спасёт, если брага поставлена неправильно.
Во время брожения дрожжи перерабатывают сахар в этиловый спирт и углекислый газ. Главная задача винокура на этом этапе — создать для дрожжей комфортные условия: правильная температура, соотношение ингредиентов и отсутствие посторонних бактерий.
Базовые компоненты:
- Сахар (или фруктовое, зерновое сырьё) — источник глюкозы для брожения.
- Вода — чистая, без хлора и примесей. Лучше использовать фильтрованную или родниковую. Не берите кипяченую воду: в ней недостаточно кислорода для нормальной работы дрожжей.
- Дрожжи — для простого самогона лучше взять специальные спиртовые дрожжи. Следите, чтобы дрожжи были свежие и правильно хранились.
Емкость для брожения
Емкости для брожения тоже бывают разные. Оптимальными считаются пищевые пластиковые баки из HDPE (полиэтилена высокой плотности) и ёмкости из нержавеющей стали, устойчивые к спирту и органическим кислотам. Перед использованием ёмкость должна быть тщательно вымыта и простерилизована — любые следы старой браги, органики, плесени или посторонней микрофлоры способны испортить процесс брожения и привести к появлению посторонних запахов и кислотности в готовом напитке.
О том, как выбрать емкость для браги, мы подробно рассказывали здесь.
Как поставить брагу
- В емкость для брожения вносят растворенный в воде сахар/фруктовый сок/зерновое сусло.
- Добавляют воду, чтобы довести общий объём до нужного уровня. Плотность сусла замеряют ареометром.
- По поверхности сусла рассыпать спиртовые дрожжи. Они не нуждаются в активации. Если вы используете другие дрожжи, то можно их активировать, разведя в теплой воде с чайной ложкой сахара. Через 10-15 минут появится пена — дрожжи активировались.
- После внесения дрожжей ёмкость закрывают крышкой с гидрозатвором. Гидрозатвор нужен, чтобы углекислый газ свободно выходил, а воздух и бактерии не попадали внутрь. Пузырьки в гидрозатворе, легкое шипение, а также сладковато-дрожжевой запах являются признаками активного брожения.
- В зависимости от сырья, дрожжей и температуры в помещении брожение может длиться от 5-10 дней. При соблюдении идеальных условий — теплое место без сквозняков и прямого света, температура 20–28 °C — мы в лаборатории сбраживали спиртовыми дрожжами турбо за 48 часов.
Как понять, что брага сбродила?
Самым правильным и достоверным методом определения готовности браги является измерение плотности сусла ареометром. Погрузите ареометр в сусло температурой +20 градусов, если брага отбродила, ареометр покажет 0%.
Если что-то пошло не так и дрожжи не работают, возможно, вы допустили одну из частых ошибок новичков. Мы писали о них подробно в этой статье. В ней мы разобрали все основные причины нежелательной остановки брожения и порчи браги.
Осветление и подготовка к перегонке
Перед перегонкой брагу нужно аккуратно слить с осадка, чтобы предотвратить пригорание и появление неприятного дрожжевого запаха в дистилляте. Дополнительно можно осветлить брагу охлаждением, оставив на сутки в холодильнике или прохладном помещении (около 2-4°C).
Когда брага «отыграет» и станет сухой, можно переходить к следующему этапу — перегонке.
Перегонка
Перегонка (или дистилляция) — это процесс нагрева браги, при котором спирт и летучие вещества испаряются, а затем снова конденсируются в виде жидкости. Так спирт отделяется от воды и примесей.
У каждого вещества своя температура кипения:
- Этиловый спирт кипит при 78,3 °C,
- Метанол (ядовитый) — при 64,7 °C,
- Вода — при 100 °C.
Поэтому важно собирать спирт в нужном температурном диапазоне и разделять фракции.
Оборудование для дистилляции
Начинающему самогонщику лучше выбрать надёжный самогонный аппарат без избыточной автоматики, но с базовыми элементами контроля. Оптимальный вариант — аппарат из пищевой нержавеющей стали, объёмом около 30 литров, оснащённый термометром, колонной и мощным холодильником. Важно, чтобы оборудование имело герметичные соединения и легко разбиралось для мойки. Такой аппарат прост в работе, безопасен и позволяет освоить все основные принципы дистилляции.
Отличный аппарат для старта от Фабрики Доктор Губер!
Для получения нейтральных дистиллятов подойдет полностью нержавеющий аппарат. Для ароматных спиртов можно заполнить колонну медной насадкой.
Получение спирта-сырца
Первая перегонка проводится без разделения фракций, чтобы извлечь весь спирт из браги. Перегонный куб заполняют не более чем на 70–80% объёма, чтобы брага не «убежала» при нагреве.
Порядок действий:
- Установите самогонный аппарат, убедитесь в герметичности всех соединений.
- Включите нагрев и дождитесь, пока пойдут первые капли дистиллята.
- Собирайте спирт-сырец до тех пор, пока крепость в струе не упадёт ниже 25–30%.
Результат: мутноватая жидкость с крепостью около 25–35%, содержащая все фракции спирта. Теперь её нужно очистить и перегнать повторно.
Дробная дистилляция
Второй перегон делает самогон чистым, безопасным и ароматным.
Деление на фракции:
- Головы — первые 8–12% от общего объёма спирта. Отбираются при температуре 65–78 °C. Содержат метанол, ацетон и другие вредные вещества. Их нельзя употреблять, но они подходят для использования в технических целях, например, как растворитель.
- Тело — пищевая фракция. Отбор при температуре 78–92 °C. Это чистый этиловый спирт, именно он идёт в самогон. Отбор ведут до падения крепости в струе до 40–45%.
- Хвосты — последние фракции с неприятным запахом. Испаряются на 92 °C и выше. На этом этапе можно завершить отбор или собрать хвосты отдельно для повторной перегонки.
Важно: не допускайте перегрева! При бурном кипении пары могут захватить лишние примеси.
Мы описали способ двойной дистилляции. Но получить хороший самогон с помощью однократной перегонки тоже возможно. Как — писали в этой статье.
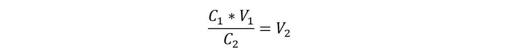
Разбавление до нужной крепости
После дистилляции крепость самогона обычно 70–80%. Чтобы довести напиток до стандартных 40–45%, нужно разбавить его водой.
Формула разбавления:
Где:
- С₁ — крепость исходного самогона,
- V₁ — объём исходного самогона,
- С₂ — желаемая крепость,
- V₂ — итоговый объём смеси.
Выдержка и улучшение вкуса
После разбавления самогон должен «отдохнуть». Оставьте его в закрытой ёмкости минимум на 5–7 дней (а лучше на две недели)— за это время вкус становится мягче, а аромат гармоничнее.
Дополнительно можно:
- настоять на дубовой щепе (для коньячного оттенка);
- добавить сухофрукты, цедру, травы или мёд;
- выдерживать в бочке (для сложного букета).
Все в ваших руках!
Следуя этим простым шагам, даже новичок сможет безопасно и эффективно освоить процесс домашнего производства самогона. Начинать лучше с простых рецептов, постепенно переходя к более сложным ароматизированным дистиллятам.
